涡轮机的动态测量
Zdenek Kubin, Research & Development, SKODA Power a.s., Czech Republic
Séverine Colas, Oros application engineer
斯柯达动力公司(SKODA POWER)是发电设备的重要供应商,需要对其蒸汽涡轮机进行模态测试。他们分别进行了虚拟计算和实际测试。
应用目的
- 根据虚拟和实测结果,确定叶片的振动模态。
- 寻求一种方法,可以确定涡轮转盘在轴向、切向和扭振激励作用下的正确模态振型. |
 |
本应用记录描述了为获取正确的结果所采用的硬件安装方法、不同的测试和分析方法。
单个叶片的模态分析
叶片长1220mm,有两个对外连接点(shroud 和 tie boss)。
实验测试,使用的OROS的分析仪和Modal2 模态软件,模拟和实测结果比较吻合。
振动模态识别
设备:
OROS分析仪激活17个输入通道,分别连接14个应变片,1个热电偶,1个电磁激励和1个转速探头。1个滑环和1个1/4桥应变放大器。通过交直流转换,实现动态和静态激励。 |
 |
第一步:坎贝尔图(Campbell diagram)
坎贝尔图表示出了所有的固有频率和共振频率
实际上,这类图并不是非常有用,原因是:
- 只有直流激励的信息,并没有包括所有的频率线。
- 噪音信号占了很大一部分
- 该图解读困难,频率线太密
只有这一个图,不能进行很好的分析,还需要其它方法。
第二步: 激励和干涉图
干涉图表达了坎贝尔图的信息、激励截面和波节直径。
用固定的电磁激励,激励频率为f
EXIT,响应频率为f
REZ。波节直径和振动传递波之间有一定的对应关系:
f
EXT=f
REZ+ND*f
ROT
其中:
- fROT=转盘的转频
- ND=节点数量
根据转频(比如50Hz)和上面的关系,可以把干涉图转变成表达激励和响应频率关系的示意图。激励频率由谐振函数发生器、功放和电磁体设定。
消除背景噪音
用此方法可以发现噪声位移现象。有多种方法可以消除噪音:
- 统计逼近
- 卡尔曼滤波
- 先进方法,寻找峰值 |
 |
FEM和实测结果的比较:
第三步: 测量结果的后处理
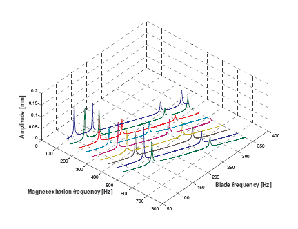
为更准确地表达测量时的叶片振动情况,可把材料阻尼设为0.5%,进行强迫激励FEM分析。在顶端施加100N的谐振激励,利用ANSYS软件,根据质量和刚度矩阵,进行谐振响应分析。当转频固定时(比如3000rpm, 50Hz),可以得到类似于图12的瀑布图。在这个瀑布图上,一系列出现和消失的峰值替代了前面干涉图中的波节直径。每一组模态峰值频率和共振频率的容差带应控制在±5%以内。从瀑布图上可以观察5%的要求是否合适。激励的“禁止频带”分别为100、200、300Hz±5%等。
下图表示激励的幅频关系。实际测量的幅频关系应该和虚拟的大致相同。
在100~250Hz之间,大多数电磁激励频率都可以激出固有频率以及高次谐振。在250~450Hz之间,响应的共振频率峰值多有重叠,此时,需要使用FFT把叶片的不同固有频率分离出来。
盘面振动的每一个峰值都可以通过直接测试获取(固定转速,扫频激振),或者通过调整激振频率,从FFT图上获取峰值。
第四步: 相干检查
以下相干检查证明计算的阶数和振型是正确的:
- 检查11个应变片的位置和相应的频谱。
- 检查每个应变片位置的相位差(时间同步)
|
叶片编号 |
角度差 |
高阶相位差 |
|
1 |
0 |
0 |
|
8 |
38.2 |
ND*38.2 |
|
14 |
70.9 |
ND*70.9 |
|
21 |
109.1 |
ND*109.1 |
|
27 |
141.8 |
ND*141.8 |
|
34 |
180 |
ND*180 |
|
40 |
212.7 |
ND*212.7 |
|
47 |
250.9 |
ND*250.9 |
|
53 |
283.6 |
ND*283.6 |
|
60 |
321.8 |
ND*321.8 |